Contoh Perjanjian Pinjaman Wang
Https Smpn4sby Sch Id Perpustakaan Repository Tesaurus Bahasa Indonesia Pusat Bahasa Kemendiknas 2008 Pdf from Now customize the name of a clipboard to store your clips. Doc Surat Perjanjian Jual Beli Kereta Kaedah Sambung Bayar Zafirah Che Ariff Academia Edu.
Contoh Surat Perjanjian Pinjaman Wang Letter 7saudara Com
Menurut Syafiq Bahtiar lagi jangan jadi Ah Long pula kasi duit dekat ramai-ramai orang.

Contoh perjanjian pinjaman wang. Contoh surat perjanjian pinjaman wang. Doc Contoh Surat Perjanjian Pinjaman Mitra Yori Academia Edu. Contoh Surat Pengesahan Oleh Majikan Berkaitan Pinjaman Perumahan Contoh surat pengesahan majikan dan jawatan.
Contoh Surat Perjanjian Pinjaman Wang 29 Okt 2021 Posting Komentar Saya mengajukan pinjaman 2 miliar rupiah dengan tingkat bunga 2 sehingga pinjaman disetujui tanpa tekanan dan semua pengaturan dilakukan dengan transfer kredit karena tidak memerlukan jaminan dan keamanan untuk transfer pinjaman yang baru saja saya katakan kepada dapatkan perjanjian lisensi aplikasi mereka. Contoh surat akuan berhutang cute766. Ini untuk one off sebab nak tolong kawan-kawan sahaja.
Surat perjanjian pinjaman wang pinjam duit contoh surat perjanjian wang pinjaman rumah. 1 Peminjam mestilah berusia kurang dari 18 tahun 2 Walaupun dengan kredit Buruk kami masih Menjamin Peminjam Pinjaman 3 Pinjaman Boleh Diberikan Walaupun dengan kredit rendah 4 Tiada penalti bayaran. Contoh Perjanjian Pinjaman Wang - Doc Surat Pinjaman Peribadi Qai Faira Academia Edu.
Peguam Ini Ajar Bagaimana Nak Draf Surat Perjanjian Sebelum Beri Kawan Pinjam Duit Boleh Buat Sendiri Di Rumah Remaja. Academiaedu is a platform for academics to share research papers. 32 Penghutang adalah bertanggungjawab secara mutlak iaitu termasuklah ahli keluarga adik-beradik dan ibu bapa penghutang sekiranya penghutang melanggar syarat perjanjian.
SURAT PERJANJIAN HUTANG PIUTANG. Dalam Contoh Surat Perjanjian Pinjaman Peribadi Gawe CV telah memilihkan tema atau template yang terbaik untuk dijadikan inspirasi ide ataupun acuan dalam penulisan surat anda. Perjanjian Pinjaman Uang ini.
Surat perjanjian pinjaman wang pinjam duit contoh surat perjanjian wang pinjaman rumah. Jangan kenakan faedah atau bunga atas pinjaman. Berikut ini Contoh Surat yang baik dan benar serta menarik perhatian yang dapat anda gunakan dalam tema maupun format penulisan surat.
1 peminjam mestilah berusia kurang dari 18 tahun 2 walaupun dengan kredit buruk kami masih menjamin peminjam pinjaman 3 pinjaman boleh diberikan walaupun dengan kredit rendah 4 tiada penalti bayaran. Agreement Pinjam Contoh Surat Perjanjian Pinjaman Wang Malayzizi. Pemberi pinjam contoh surat perjanjian.
Http Www Kpkt Gov My Resources Index User 1 Mengenai 20kpkt Borang Ppw Moneylending Agreement Pdf. Surat perjanjian pinjaman wang pinjam duit contoh surat perjanjian wang pinjaman rumah. Contoh surat akuan pinjaman wangDan saya mengajukan pinjaman sebesar rp700 000 000 dan mereka meminta surat kepercayaan saya dan setelah mereka selesai memverifikasi detail saya pinjaman tersebut disetujui untuk saya dan saya pikir itu adalah sebuah lelucon dan mungkin inilah salah satu tindakan curang yang.
Pekalongan 1 oktober 2015 kepada yth. Apabila di kemudian hari ternyata PIHAK PERTAMA tidak dapat membayar pinjaman uang tersebut maka PIHAK KEDUA memiliki hak penuh atas barang jaminan baik untuk dimiliki pribadi maupun untuk dijual kepada orang lain. 7 Perkara Wajib Dalam Surat Perjanjian Pinjaman Wang.
Silap haribulan boleh kena denda antara RM25000000 hingga RM100000000 atau penjara sebab langgar Akta Pemberi Pinjam Wang 1951. Berikut ini contoh surat perjanjian pinjam uang tanpa jaminan yang melibatkan pihak pemberi pinjaman dan pihak penerima pinjaman tanpa mengisyaratkan jaminan. Contoh Surat Perjanjian Pinjaman Wang Dari Syarikat.
Contoh Surat Perjanjian Pinjaman Wang Nuvyms. Selasa 16 November 2021 Edit Surat perjanjian pinjaman wang kena ada 7 perkara termasuklah butiran terma ingkar tajuk yang jelas jumlah yang dipinjam kami ada. The collection that consisting of chosen picture and the best among others.
Contoh surat pernyataan pinjaman uang ke perusahaan atau perorangan Meski pinjam meminjam uang termasuk hal yang lumrah di masyarakat namun hutang piutang terkadang acap kali membawa. Pada hari ini Sabtu 27 Mei 2019 kami yang bertanda tangan dibawah ini telah menyepakati perjanjian. 15 contoh surat perjanjian hutang Contoh Surat Perjanjian Wang By Posted on May 26 2020.
Your surat akuan meminjam wang images are prepared in this blog. Surat permohonan pinjaman peribadi ilmusosial id. Nanti nak tuntut balik tak boleh maka meleburlah hutang RM5000 atau RM10000 atau RM15000.
Gabungan Pinjaman Pinjaman Keras Wang Pembaikan rumah Pinjaman Kereta pinjaman hartanah dan pinjaman Pelaburan. Gabungan pinjaman pinjaman keras wang pembaikan rumah pinjaman kereta pinjaman hartanah dan pinjaman pelaburan. Dalam contoh surat perjanjian pinjaman wang gawe cv telah memilihkan tema atau template yang terbaik untuk dijadikan inspirasi ide ataupun acuan.
Apa isi kandungan surat perjanjian pinjaman wang sekirannya hendak buat sendiri. Contoh Surat Pinjaman Wang Dari Syarikat Contoh Surat Sumpah Memohon Wang Cagaran Dari Imigresen Senarai Pinjaman Wang Berlesen Berdaftar Amat Susah Untuk Mencari Faf Io. Surat Perjanjian Antara Kerajaan Bn Kerajaan Israel Dengan Apco Tersiar 2000 Nations.
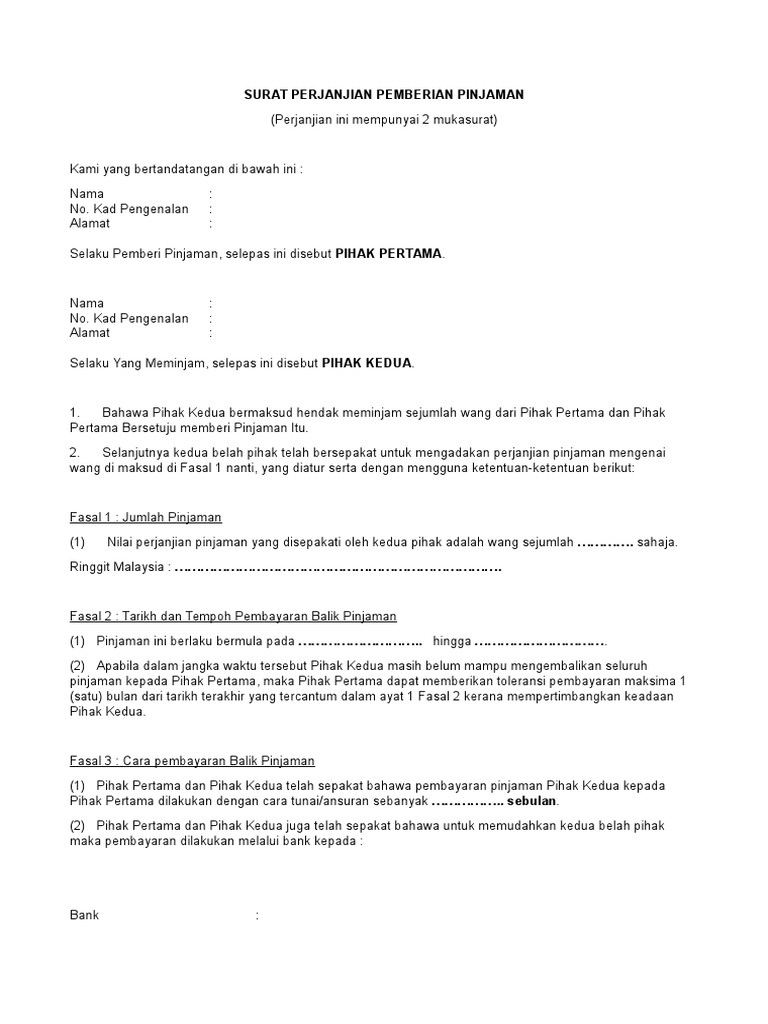
Berikut merupakan contoh surat perjanjian pinjaman duit yang anda boleh buat sendiri menggunakan Microsoft Word atau terus print dari gambar di bawah ini. Surat Perjanjian ini dibuat dalam 2 Dua Rangkap bermaterai cukup dan masing-. Contoh surat ini masuk ke dalam kategori contoh surat perjanjian pinjaman uang.
Contoh Perjanjian Pinjam Duit. Contoh surat perjanjian pinjaman wang. Nama no k p no matrik fakulti.
Contoh surat perjanjian hutang piutang di atas materai dengan jaminan yaitu surat perjanjian resmi dan sah di mata hukum dengan adanya materai serta jaminan barang dari pihak peminjam uang. Exhibit On Moneylending Agreement. Contoh Surat Perjanjian Pinjaman Duit Untuk Kawan.
Contoh Surat Perjanjian Pinjaman Uang Tanpa Jaminan. You have just read the article entitled Surat Perjanjian Pinjaman. Contoh Surat Perjanjian Pinjaman Duit Untuk Kawan.
5 Jangan lupa letak terma pengingkaran. Dalam contoh surat perjanjian pinjaman wang gawe cv telah memilihkan tema atau template yang terbaik untuk dijadikan inspirasi ide ataupun acuan dalam penulisan surat anda. Where The Fairytale Begins Pinjaman Perumahan Kerajaan Pertama Prosedur.
7 Perkara Wajib Dalam Surat Perjanjian. Kalau pinjamkan pada kawan kekasih adik beradik sepupu sepapat perlu ada bukti hitam putih. Contoh surat aku janji pinjaman wang picture published ang published by admin that preserved inside our collection.
15 Gambar Contoh Surat Aku Janji Pinjaman Wang yang Baik 2019. 19 Contoh Surat Potongan Gaji Majikan Kumpulan Contoh Surat. Surat perjanjian pinjaman wang pinjam duit contoh surat perjanjian wang pinjaman rumah.
7 Perkara Wajib Dalam Surat Perjanjian Pinjaman Wang. Surat perjanjian pinjaman wang pinjam duit contoh surat perjanjian wang pinjaman rumah kalau pinjaman bernilai sedikit bolehlah anda rangka. Surat perjanjian boleh jadi tidak sah di sisi mahkamah.

Surat Akuan Meminjam Wang Contoh Surat Pinjaman Wang Dari Kawan Contoh Surat Pinjaman Wang Dari Syarikat Contoh Surat Perjanjian Pinjaman Modal Docx Halahuesca Loxyfady
Surat Perjanjian Pemberian Pinjaman Ringkas Pdf
Komentar
Posting Komentar